A VEBIS SARI védőoltás-eredményességi (VE) hálózat részeként öt európai ország együttműködésével vizsgáltuk a Covid-19 oltások eredményességét a súlyos akut légúti megbetegedéssel (SARI) kórházba kerülő a 60 éves és idősebb népesség körében. Elemzésünk fókuszában az Omikron XBB alvariáns által dominált időszakában (2023. február–augusztus) alkalmazott, adaptált, kétkomponensű (bivalens) mRNS Covid-19 védőoltások voltak. Vizsgálatunk célja annak meghatározása volt, hogy ezek az oltások milyen mértékű védelmet nyújtanak a kórházi ellátást igénylő megbetegedésekkel szemben.
A kórházi eset-kontroll elrendezésű vizsgálatunkat multicentrikus, teszt-negatív módszertannal végeztük. Az esetek közé azok a páciensek tartoztak, akiknél PCR-rel igazolták a SARS-CoV-2 fertőzést, a kontrollcsoportba azok, akik SARI miatt kórházba kerültek, de a PCR teszteredményük negatív lett. A védőoltások eredményességének értékeléséhez különböző oltottsági státusz szerinti definíciókat (lásd táblázat) alkalmazva a relatív védőoltás-eredményességet (rVE) és az inkrementális védőoltás-eredményességet (iVE) becsültük meg.
A vakcina-eredményességi mutatók meghatározása a VEBIS SARI VE hálózatban, Európa, 2023. február 15. – augusztus 31.

SARI: súlyos akut légúti megbetegedés; VE: védőoltás-eredményesség; VEBIS: Vaccine Effectiveness, Burden and Impact Studies.
† Bármely adaptált, bivalens mRNS Covid-19 oltás (Comirnaty [BNT162b2; Pfizer–BioNTech] és Spikevax [mRNA-1273; Moderna] Original/Omicron BA.1, valamint Comirnaty és Spikevax Original/Omicron BA.4–5).
Minden emlékeztető oltás, amelyet az adott országban a bivalens oltóanyagok bevezetését követően adtak be [oltási kampány után]§, bivalens Covid-19 oltóanyagnak számított.
‡ Bármely monovalens Covid-19 oltás. Minden oltás, amelyet az adott országban az adaptált bivalens mRNS Covid-19 bevezetése előtt adtak be [kampány előtt]§, monovalens Covid-19 vakcinának számított.
§Szerk. kiegészítés, az eredeti táblázatban nem szerepel.
Forrás: Euro Surveill. 2024 Jan 18;29(3):2300708. doi: 10.2807/1560-7917.ES.2024.29.3.2300708 publikáció 2. táblázata alapján SE ESK saját szerkesztés
Az oltások eredményességét az oltás óta eltelt idő (time since vaccination − TSV) függvényében mértük 60 és 90 napos időintervallumokban. Az eredményeket korrigáltuk a tünetek kezdetének időpontjára, a nemre, az életkorra, valamint a fennálló krónikus betegségekre.
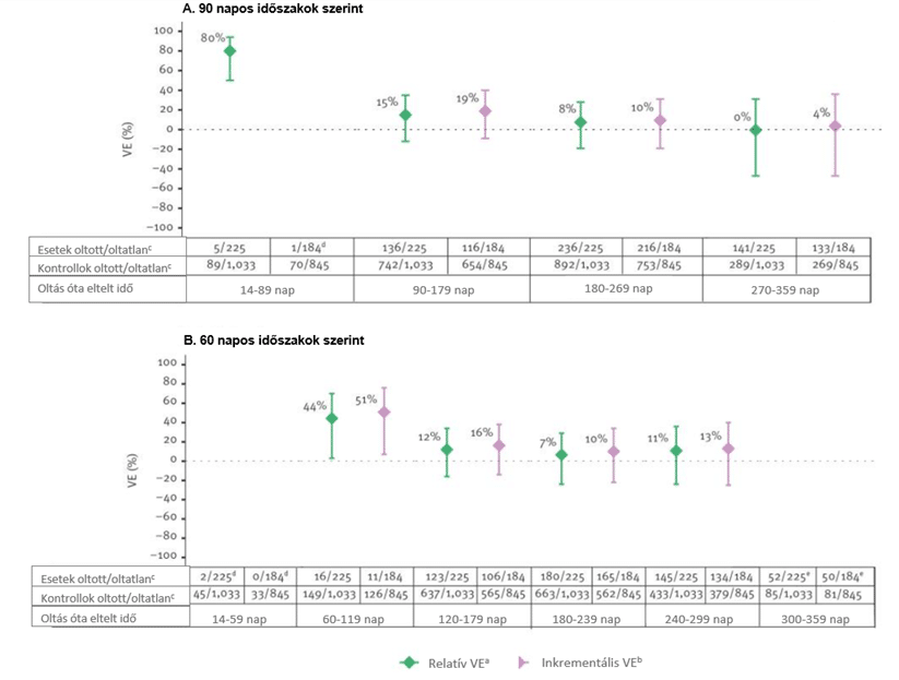
A vizsgált időszak alatt összesen 743 esetet, valamint 3 045 kontrollt voltunk be az elemzésbe. A 90 napos időszakok szerinti eredmények alapján a bivalens Covid-19 vakcinákkal oltott személyek körében magasabb védettség volt megfigyelhető az rVE definíció szerint meghatározott oltatlanokhoz képest. Az oltást követő 14–89. nap között a rVE 80% volt, míg a 90–179. nap között már csak 15%. Ezt követően a védettség a kimutathatóság határa alá csökkent. A 60 napos időszak szerinti rVE a 60–119. napon 44% volt, a védettség az oltástól számított idő előrehaladtával fokozatosan csökkent. Az eredmények az iVE becslések esetében is hasonló tendenciát jeleztek.
Az Omikron XBB alvariáns dominanciája alatt az idősek körében alkalmazott bivalens mRNS oltások rövid távon jelentős védelmet nyújtottak a kórházi kezelést igénylő megbetegedések ellen, ugyanakkor az oltások hatása az idő múlásával gyorsan csökkent. Az eredmények alapján feltételezhető, hogy a védettség idővel gyengül, ezért az idősek oltásának tervezésekor az oltások időzítése és az előző oltás óta eltelt idő kulcsfontosságú tényező lehet az eredményesség szempontjából. A védőhatás gyors csökkenése miatt indokolt lehet célzott emlékeztető oltások vagy más megelőző stratégiák alkalmazása az érintett korcsoportokban.
A kétkomponensű (bivalens) Covid-19 védőoltás relatív és inkrementális eredményessége a kórházi ellátást igénylő megbetegedések megelőzésében 60 év feletti, SARI betegek körében, az oltás óta eltelt idő szerint (A) 90 napos és (B) 60 napos bontásban. VEBIS SARI VE hálózat, Európa, az Omikron XBB variáns dominanciájának időszaka, 2023. február 15. – augusztus 31.

Rövidítések: SARI: súlyos akut légúti megbetegedés; VE: védőoltás-eredményesség; VEBIS: Vaccine Effectiveness, Burden and Impact Studies
a A relatív védőoltás-eredményességet (rVE) azok között hasonlították össze, akik bivalens emlékeztető oltást kaptak („oltottak”), és azok között, akik nem kaptak bivalens oltást, de korábban legalább az elsődleges oltási sort (alapimmunizálás) még > 6 hónappal a bivalens oltási kampány kezdete előtt megkapták („nem oltottak”). Az, hogy egy oltást bivalensnek vagy monovalensnek (egykomponensűnek) tekintettek, attól függött, hogy mikortól kezdték alkalmazni a bivalens oltásokat az adott országban.
b Az inkrementális védőoltás-eredményességet (iVE) azok között hasonlították össze, akik megkapták az alapimmunizálást és két emlékeztető oltást, melyek közül a második bivalens oltóanyag volt („oltottak”), illetve azok között, akik még > 6 hónappal a bivalens oltási kampány kezdete előtt megkapták az alapimmunizálást és egy monovalens emlékeztető oltást („nem oltottak”). Az, hogy egy oltást bivalensnek vagy monovalensnek tekintettek, attól függött, hogy mikortól kezdték alkalmazni a bivalens oltásokat az adott országban.
c A táblázatban szereplő számok az egyes VE értékekhez tartoznak, és az oltott, illetve oltatlan betegek számát mutatják az esetek és a kontrollok között.
d A VE becsléseket nem tüntették fel: ha < 20 oltott beteg vagy < 5 oltott, illetve oltatlan eset vagy kontroll szerepelt az adott csoportban.
e Ha az az alacsony esetszám miatt torzítás volt valószínűsíthető (ha a becsült érték több mint 10%-kal eltért a regularizált logisztikus regresszióval kapott eredménytől).
Forrás: Euro Surveill. 2024 Jan 18;29(3):2300708. doi: 10.2807/1560-7917.ES.2024.29.3.2300708 publikáció 2. ábrája alapján SE ESK saját szerkesztés
Effectiveness of the adapted bivalent mRNA COVID-19 vaccines against hospitalisation in individuals aged ≥ 60 years during the Omicron XBB lineage-predominant period: VEBIS SARI VE network, Europe, February to August, 2023
Liliana Antunes (Epiconcept, Párizs, Franciaország)
Clara Mazagatos (National Centre for Microbiology, Institute of Health Carlos III, Madrid, Spain)
Gergő Túri (National Laboratory for Health Security, Epidemiology and Surveillance Centre, Semmelweis University, Budapest),
and the I-MOVE & VEBIS Hospital Network team
Abstract
We conducted a multicentre hospital-based test-negative case–control study to measure the effectiveness of adapted bivalent COVID-19 mRNA vaccines against PCR-confirmed SARS-CoV-2 infection during the Omicron XBB lineage-predominant period in patients aged ≥ 60 years with severe acute respiratory infection from five countries in Europe. Bivalent vaccines provided short-term additional protection compared with those vaccinated > 6 months before the campaign: from 80% (95% CI: 50 to 94) for 14–89 days post-vaccination, 15% (95% CI: −12 to 35) at 90–179 days, and lower to no effect thereafter.
* Vaccine Effectiveness, Burden and Impact Studies
Antunes L, Mazagatos C, Martínez-Baz I, Gomez V, Borg ML, Petrović G, Duffy R, Dufrasne FE, Dürrwald R, Lazar M, Jancoriene L, Oroszi B, Husa P, Howard J, Melo A, Pozo F, Pérez-Gimeno G, Castilla J, Machado A, Džiugytė A, Karabuva S, Fitzgerald M, Fierens S, Tolksdorf K, Popovici SO, Mickienė A, Túri G, Součková L, Nicolay N, Rose AM; European Hospital Vaccine Effectiveness Group. Effectiveness of the adapted bivalent mRNA COVID-19 vaccines against hospitalisation in individuals aged ≥ 60 years during the Omicron XBB lineage-predominant period: VEBIS SARI VE network, Europe, February to August, 2023. Euro Surveill. 2024 Jan;29(3):2300708. doi: 10.2807/1560-7917.ES.2024.29.3.2300708. PMID: 38240061; PMCID: PMC10797659.
https://pmc.ncbi.nlm.nih.gov/articles/PMC10797659/
Készítette az
RRF-2.3.1-21-2022-00006
